Case Studies
Anecdotal evidence suggests that many exploration companies are undertaking portable XRF analysis of diamond drill core using drag analyses, or continuous scanning of the drill core with only the beam for the element of interest active.
A total of 14,651 un-sieved B- and C-horizon residual soil samples were collected on detailed grids at the Smash Minerals (Prosperity Goldfields Corp) Whiskey gold project in the Black Hills of the Yukon Territory, Canada during the 2011 field season.
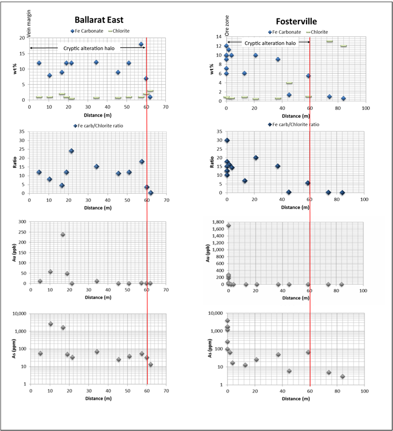
Hydrothermal alteration associated with central Victorian, sediment-hosted gold mineralisation has been well described in recent years (e.g. Bierlein et al. 2000; Arne et al. 2008). Alteration consists of sulphidic (pyrite, arsenopyrite, pyrrhotite), phyllic (sericite replacement of detrital albite) and carbonate (ankerite, siderite, ferroan calcite) haloes, some of which is cryptic in that it is not readily apparent in fresh diamond drill core.
It has become common place within the resource industry to obtain mineralogical information at different stages of mineral exploration and metallurgical investigations using a variety of methods. These include hyperspectral analysis (thermal-, near- and short-wave infrared), quantitative X-ray diffraction (XRD), thin section petrography, and quantitative scanning electron microscope (SEM) analysis.
